| |
|
|
Сертификаты и разрешения (если Вы не нашли нужный сертификат рекоммендуем https://npptec.ru/documents/)
|
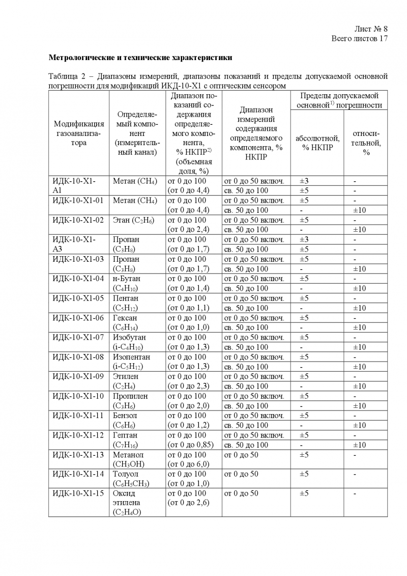
ПРИЛОЖЕНИЕ к сертификату об утверждении типа газоанализатора ИДК-10, включающее новое Описание типа, новый приказ № 924 от 12.05.2025 и приложение к приказу №924 от 12.05.25.
|
|
|
|
|
|
|
| |
|
|
|
|
|
|
| |
|
|
|
|
|
|
| |
|
|
|
|
|
|
| |
|
|
|
|
Наш сайт использует файлы cookies для обеспечения работоспособности и улучшения качества обслуживания. Продолжая просмотр страниц сайта, вы автоматически соглашаетесь с использованием данных технологий.
|
|